Matrix in Bold Font

Here is an example of how to create a bold font matrix in AIxOffice Math. You can copy this example to the Commands window using the clipboard and use it in your own formula.

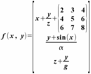
Matrix in bold font

bold { f(x", "y) = left [ stack { x + y over z + left lbrace matrix { 2 # 3 # 4 ## 4 # 5 # 6 ## 6 # 7 # 8} right rbrace # {y + sin (x)} over %alpha # z + y over g } right ]}